网站首页  词典首页


请输入您要查询的字词:

 

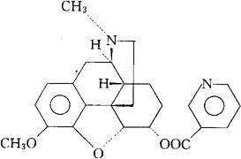
字词 烟地可定
类别 中英文字词句释义及详细解析
释义 烟地可定

C24H26N2O4=406.48

CAS-808-24-2

6-烟酰二氢可待因。

6-Nicotinoyl dihydrocodeine.

镇咳药,镇痛药。

Nicodicodine.

INN,BAN,DCF,USAN.

随便看

 

离鸟网收录3541549条中英文词条,其功能与新华字典、现代汉语词典、牛津高阶英汉词典等各类中英文词典类似,基本涵盖了全部常用中英文字词句的读音、释义及用法,是语言学习和写作的有利工具。

 

Copyright © 2004-2024 vtrois.com All Rights Reserved
更新时间:2026/5/26 0:15:09