网站首页  词典首页


请输入您要查询的字词:

 

字词 环丙扎封
类别 中英文字词句释义及详细解析
释义 环丙扎封

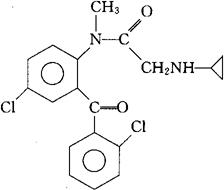
C19H18Cl2N2O2=377.27

CAS-75616-03-4

4′-氯-2′-(邻-氯苯甲基)-2-(环丙氨基)-N-甲基乙酰苯胺。

冠脉扩张药。

4′-Chloro-2′-(o-Cblorobenzoyl)-2-(cyclopropylamino)-N-methylacetanilide.

西扑查酮。

Ciprazafoene.

INN,USAN.

随便看

 

离鸟网收录3541549条中英文词条,其功能与新华字典、现代汉语词典、牛津高阶英汉词典等各类中英文词典类似,基本涵盖了全部常用中英文字词句的读音、释义及用法,是语言学习和写作的有利工具。

 

Copyright © 2004-2024 vtrois.com All Rights Reserved
更新时间:2026/5/28 21:02:34