网站首页  词典首页


请输入您要查询的字词:

 

字词 生态位重叠
类别 中英文字词句释义及详细解析
释义 生态位重叠

生态位理论研究中的一个中心问题,涉及种群对资源的分享数量,是研究群落结构和功能、资源利用对策、竞争和种间聚集、物种特化和泛化等生态学问题的基础。

研究种群间生态位重叠,可预测野生生物群落结构动态。同时,可对野生动物管理及生物防治提供重要的理论依据。

自1917年Grinnell首先提出“生态位”一词后,“生态位重叠”这一概念也随之产生,70年代初开始明确定义,但众多学者持有不同意见。

Colwell(1970)等认为生态位重叠即两个种对一定资源状态的共同利用程度;Pielou(1972)的定义为某一资源状态上种的多样性;Hurlbert(1978)则把它看作是两个种在同一资源状态上的相遇频率。1984年王刚等将生态位重叠定义为两个种在其生态因子联系上的相似性,即两个种在生态学上的相似性。

生态位重叠指数是衡量生态位重叠大小的尺度。

该指数的计算是通过建立一定数学模型来实现的;其中最简单的一个计测公式是Renkonen(1938),Schoener(1968)等提出的:

这里:,xi、yi为利用资源i的物种x、y的数量。x、Y为物种r、y的总数。

以下类同。

而被广泛使用的生态位重叠指数则来源于Lotka-voltera方程的“竞争系数”,包括:Morisita(1959)、Horn(1966)提出的:

和Pianka(1973)提出的:

Lloyd(1967)基于他的“平均拥挤度”的概念而提出:

Horn(1966)基于Shannon-Wiener指数提出了:

这里:N=X+Y.

Levins(1968)又提出一种生态位重叠的计测方法,也是经常被使用的一种:

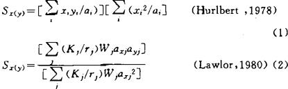
Hurlbert(1978)在对以上关于生态位重叠计测公式评价的基础上,提出一个新的计测方法:

其中:ai是可利用的资源状态i;A是所有可利用资源之和。

上述关于生态位重叠的计测多是沿某一资源轴而进行的,对于运用Hutchinson关于生态位n-维超体积定义,有一定的难度(杨效文等,1992)。Green(1971,1974)运用多元判别分析,首次使Hutchinson超体积概念得到了应用。

这在方法上是对生态位理论的研究是一个很大的推动。他在生态位重叠的计测方法是:生态位椭圆相交面积占用2个种累计面积的百分比。王刚等(1984)基于他们提出生态位重叠的定义,指出生态位重叠的计测应是种间生态学相似性的计测:

其中:a,b分别为种a,种b。

fa(x1,x2,…xn)和fb(x1,x2,…xn)分别为种a和种b的生态位连续函数,D为f的定义域,D=I1×I2x…xIixIn,Ii为f在xi轴上的定义区间。

关于能否用生态位重叠来估计竞争是有争议的。Hurlbert(1978)等认为生态位重叠不能用来估计竞争。

其主要原因:(1)当所考虑的资源没有稀少到限制消费者时,即使完全重叠也不会导致竞争。(2)竞争强度取决于消费者密度与资源密度之间的比例。

如所有的资源在数量平分,竞争一般会更强烈,但重叠并不改变。(3)重叠是否引起竞争,要比较实际生态位重叠和基础生态位重叠值,如果无害异或为零,说明均无竞争(杨效文等,1992)。而Pianka(1975)等认为竞争和生态位重叠是密切相关的,竞争的大小可用竞争系数来表示,竞争系数的估计,主要有三个公式:

其中,Kj和rj分别为资源j的容量及内禀增长率,axj、ayi分别为种x、y对资源j的选择性,WJ是资源的相对值。

关于两个种的生态学可以相似到多大程度而仍然允许共同生存,也即它们的最大允许生态位重叠是多少,是使生态学家长期感到困惑的问题,建立在竞争群落中的生态位重叠模型,虽然已经产生若干可检验的预测,但现有大多理论是按单个生态位维度制订的,而实际的植物和动物,常常沿两个或多个生态位维度显示出中等的生态位重叠,理想的情况是沿一个以上生态位维度的资源利用和生态位分割的多维分析,必然通过每一个分离的生态位维度估算所有资源的成比例同时利用来进行。

可是实践上,取得多维利用数据极其困难。因而,如何建立一个更合理的生态位重叠模型,及其理论参数如何保变成可以应用于野外群落形式,也是生态学家们所关注并亟待解决的课题。

。【参考文献】:

1 Levins R. Evolution in changing Environments. Princeton Univ. Press,Puinceton,W J. 1986,120

2 Pianka E R. The structure of Lizard communities. Ann Rev Ecol syst,1973,4:53 ~74

3 Green R H. Multivariant niche analysis with temporally Va-ring environmental (actors. Ecology, 1974,55(1):73~83

4 Hurlbert 5 H. The measurement of niche overlap some relatives. Ecology, 1978,59(1): 67 ~ 77

5 Lawlor L R. Overlap.Similarity,and competition coefficients. Ecology. 1980,61 (2): 245~251

6 王刚,等.关于生态位定义的探讨及生态位重叠计测公式改进的研究.生态学报,1984,4(2)∶119~127

7 杨效文,等.生态有关术语的定义及计算公式评述.生态学杂志,1992,11(2)∶44~49

(安徽师范大学郑艳硕士撰;陈壁辉教授审)

随便看

 

离鸟网收录3541549条中英文词条,其功能与新华字典、现代汉语词典、牛津高阶英汉词典等各类中英文词典类似,基本涵盖了全部常用中英文字词句的读音、释义及用法,是语言学习和写作的有利工具。

 

Copyright © 2004-2024 vtrois.com All Rights Reserved
更新时间:2026/5/31 21:00:39