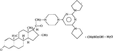
甲磺酸替拉扎特
C38H52N6O2·CH4O3S·H2O=738.99 CAS-111793-42-1 CAS-110101-66-1(tirilazad) (16α)-21-[4-(2,6-二-1-吡咯烷基-4-嘧啶基)-1-哌嗪基]-16-甲基孕甾-1,4,9(11)-三烯-3,20-二酮,单甲烷磺酸盐一水化合物。 (16α)-21-[4-(2,6-Di-1-pyrrolidinyl-4-pyrimidinyl)-1-piperazinyl]-16-methylpregna-1,4,9(11)-triene3,20-dione,monomethanesulfonate,monohydrate. 脂质过氧化抑制药。 Tirilazade Mesylate,U 74006F. INN(Tirilazad),USAN. 
|