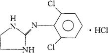
盐酸可乐定[典]
C9H9Cl2N3·HCl=266.56 CAS-4205-91-8 2-[(2,6-二氯苯基)亚氨基]咪唑烷的单盐酸盐。 2-[(2,6-Dichlorophenyl)imino]imidazolidine monohydrochloride. 抗高血压药,可激动中枢α2-肾上腺素受体。用于高血压症。 盐酸氯压定,盐酸可乐宁,血压得平。 Clonidine Hydrochloride,Catapres,Isoglaucon. 盐酸可乐定片(盐酸可乐宁片),盐酸可乐定注射液,盐酸可乐定膜。 BP,USAN,USP.MI,  |