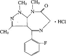
盐酸唑拉西泮
C15H15FN4O·HCl=322.77 CAS-33754-49-3 CAS-31352-82-6(zolazepam) 4-(2-氟苯基)-6,8-二氢-1,3,8-三甲基吡唑并[3,4-e][1,4]二氮杂 -7(1H)-酮,单盐酸盐。 Pyrazolo[3,4-e][1,4]diazepin-7(1H)-one,4-(2-fluorophenyl)-6,8-dihydro-1,3,8-trimethyl,monohydrochloride, 4-(邻-氟苯基)-6,8-二氢-1,3,8-三甲基吡唑并[3,4-e][1,4]二氮杂 -7(1H)-酮单盐酸盐。 4-(o-Fluorophenyl)-6,8-dihydro-1,3,8-trimethylpyrazolo[3,4-e][1,4]diazepin-7(1H)-one monohydrochloride. 镇静药。 Zolazepam Hydrochloride,Component of Telazol, CI-716. INN,BAN,USAN.  |