盐酸培力农
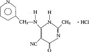
C12H11N5O·HCl=277.71 CAS-89232-84-8 CAS-94386-65-9(pelrinone) 1,4-二氢-2-甲基-4-氧代-6-[(3-吡啶甲基)氨基]-5-嘧啶腈,单盐酸盐。 1,4-Dihydro-2-methyl-4-oxo-6-[(3-pyridinylmethyl)amino]-5-pyrimidinecarbonitrile,monohydrochloride. 强心药。 盐酸吡利酮。 Pelrinone Hydrochloride,Myotrope,AY 28768. INN(Pelrinone),USAN.  |