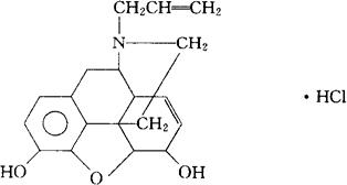
盐酸烯丙吗啡
C19H21NO3·HCl=347.85 CAS-57-29-4 17-烯丙基-7,8-二去氢-4,5α-环氧吗啡喃-3,6α-二醇盐酸盐。 17-Allyl-7,8-didehydro-4,5α-epoxymorphinan-3,6α-diol hydrochloride. 麻醉镇痛药。急性中毒解毒药。 盐酸纳洛芬(台),盐酸烯丙吗啡(台),盐酸丙烯去甲吗啡。 Nalorphine Hydrochloride,Nalline,N-Allylnormorphine Hydrochloride. 纳洛芬注射液,盐酸纳洛芬注射液(台)。 FP,IP,NF,USAN,USP,MI. 
|