盐酸纳美酮
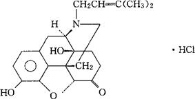
C21H25NO4·HCl=391.89 CAS-16676-27-0 CAS-16291-05-7(replaced) CAS-16676-26-9(nalmexone) (5α)-4,5-环氧-3,14-二羟-17-(3-甲基-2-丁烯基)吗啡喃-6-酮盐酸盐。 (5α)-4,5-Epoxy-3,14-dihydroxy-17-(3-methyl-2-butenyl)morphinan-6-one,hydrochloride. 4,5α-环氧-3,14-二羟-17-(3-甲基-2-丁烯基)吗啡喃-6-酮盐酸盐。 4,5α-Epoxy-3,14-dihydroxy-17-(3-methyl-2-butenyl)morphinan-6-one hydrochloride. 镇痛药。 Nalmexone Hydrochloride,EN-1620A. INN(Nalmexone),USAN.  |