盐酸阿扎胆醇
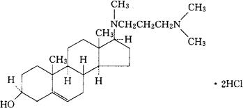
C25H44N2O·2HCl=461.56 CAS-1249-84-9 CAS-313-o5-3(azacosterol) 17β-[[3(二甲氨基)丙基]甲氨基]雄甾-5-烯-3β-醇二盐酸盐。 17β-[[3(Dimethylamino)propyl]methylamino]androst-5-en-3β-ol dihydrochloride. 20,25-二氮杂胆甾醇二盐酸盐。 20,25-Diazacholesterol dihydrochloride. 避孕药。 AzacosterolHydrochloride,SC-12937. INN,USAN.  |