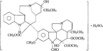
硫酸长春新碱
C46H56N4O10·H2SO4=923.04 CAS-2068-78-2 CAS-57-22-7(vincrisfine) 22-氧代长春碱硫酸盐(1∶1)。 Vincaleukoblastine,22-oxo-,sulfate(1∶1)(salt). 长春新碱硫酸盐(1∶1)。 Leurocristine sulfate(1∶1)(salt). 抗肿瘤药。用于急性白血病、恶性淋巴瘤、绒毛腺上皮癌、乳腺癌、肺癌及消化道肿瘤等。 硫酸醛基长春碱。 Vincristine Sulfate,Oncovin,Leurocristine,Vincasar,Vincrex,37231,NSC-67574. 注射用硫酸长春新碱(注射用硫酸醛基长春碱)。 INN,BAN,BP,USAN,USP,MI.  |