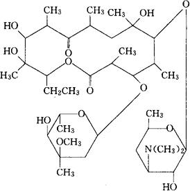
红霉素[典]
C37H67NO13=733.94 CAS-114-07-8 (3R*,4S*,5S*,6R*,7R*,9R*,11R*,12R*,13S*,14R*)-4-[(2,6-二去氧-3-C-甲基-3-O-甲基-α-L-核吡喃己糖基)氧]-14-乙基-7,12,13,-三去氧-3,5,7,9,11,13-戊甲基-6-[[3,4,6-三去氧-3-(二甲氨基)-β-D-来苏-吡喃己糖基]氧]环氧十四烷-2,10-二酮。 (3R*,4S*,5S*,6R*,7R*,9R*,11R*,12R*,13S*,14R*)-4-[(2,6-Dideoxy-3-C-methyl-3-Omethyl-α-L-ribo-hexopyranosyl)oxy]-14-ethyl-7,12,13-trideoxy-3,5,7,9,11,13-hexamethyl-6-[[3,4,6-trideoxy-3-(dimethylamino)-β-D-xylo-hexopyranosyl]oxy]oxacyclotetradecane,2,10-dione. 抗生素类药。用于对青霉素耐药的葡萄球菌感染,白喉带菌者。 红丝菌素(台)。 Erythromycin, Erythrocin, Erythrogran, Robimycinm,Ilofycin. 红霉素片,红霉素眼膏,红霉素软膏。 INN,BAN,BP,DCIT,EP,FP,JP,NFN,USAN,USP,USSRP,MI, 
|