线性规划模型
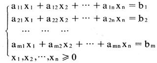
由决策变量、约束条件、目标函数构成的描述线性规划问题的数学模型。 其标准形式为:求一组决策变量x1,x2,…,xn的值,满足约束条件:  使目标函数 Z=C1Xi+C2X2++CnXn→最大 其中:aij,bi,ci(1=1,2,…,m;j=1,2,…,n)是给定的参数。an为决策变量的约束条件系数,ci为决策变量的目标函数系数,bi为常数项,始终要求bi≥0,即满足可行状况。 由实际问题抽象得到的模型不一定是标准形式。 化标准形式的方法有:(1)在约束线性不等式的左端加入(如约束不等式为<)或减去(如约束不等式为>的辅助变量xn+1,化不等式为等式,辅助变量在目标函数中的系数cn+1规定为0,使之不影响最优解;(2)如果对某一变量xj(1, ,令 ,代入约束方程及目标函数中,化全部变量为非负约束,(3)如果某个常数项bi(1*=-Z的最大值。 用单纯型法求解线性规划问题,必须先将数学模型由非标准形式化为标准形式。 |