网站首页  词典首页


请输入您要查询的字词:

 

字词 经济采购批量模型与决策
类别 中英文字词句释义及详细解析
释义 经济采购批量模型与决策

1.采购批量与存货成本的关系

采购批量是指在存货全年需要总量一定的条件下,分次采购,每次平均采购的存货数量。存货成本是由采购成本、订货成本、储存成本和缺货成本构成的。在存货全年需要总量一定时,如果采购批量大小不同,全年所采购的次数也就不同,那么对存货的各项成本的影响也就不同。

(1)采购批量与采购成本的关系。采购成本是按照采购数量与单位价格计算的,在没有数量折扣的条件下,单位价格固定不变,年采购总成本则是一个固定不变的常数,因而与采购批量的大小无关。

(2)采购批量与订货成本的关系。订货成本是订购存货发生的费用。在年需要总量一定的条件下,采购批量越小,订货次数则越多,因而发生的订货成本也就越高。反之,若采购批量越大,订货次数则越少,其订货成本也就越低。因此,订货成本与采购批量成反比例关系。

(3)采购批量与储存成本的关系。储存成本中虽然有一部分不受储存数量影响基本固定的费用,但储存成本一般随著储存数量的增减而增减变动。若在单位储存成本一定的条件下,采购批量越大,年平均储存量则越大,其储存成本也就越高;反之若采购批量越小,年平均储存量则越小,其储存成本也就越低。因此,储存成本与采购批量成正比例关系。

(4)采购批量与缺货成本的关系。缺货成本与储存数量有著直接的关系。采购批量越小,即储存的数量越少,就越是可能造成缺货,并且全年可能发生缺货损失的次数也就越多。反之,如果增大采购批量,就会减少发生缺货的可能性,从而降低存货的缺货成本。

由此可见,采购成本是一个常数,不受采购批量大小的影响;储存成本与采购批量成正比关系,随采购批量的增大而增加;订货成本和缺货成本则与采购批量成反比关系,随采购批量的增大而减少。

2.存货经济采购批量模型

存货经济采购批量,是指年存货总成本最低的每次采购数量。根据上述对存货成本与采购批量关系的分析,在构成存货总成本的四项具体成本中,其中,一定期间的采购总成本是一个常数,与采购批量的大小无关,因而在确定经济采购批量时无需考虑采购成本。缺货成本虽与采购批量的大小有关,但由于缺货成本难以准确地计量,因此在确定经济采购批量时可以不加考虑。这样,影响存货经济采购批量的因素只有储存成本和订货成本这两个因素。由于采购批量的大小对储存成本和订货成本的影响是反方向的,随著采购批量的增减变化而互为消长,因此,当这两项成本相等时,其合计的总成本为最低,此时的采购批量即为经济采购批量。

确定存货的经济采购批量,既可以保证满足企业正常生产经营活动对各种存货的需要,同时又可以建立合理的库存储备,降低储存费用,加速存货的周转,提高企业的经济效益。在企业生产经营正常,每批订货一次全部到达,提前期为零,并且在供应期内陆续均匀耗用的条件下,经济采购批量可采用逐批测算法、图解法和公式法加以确定。现分别介绍如下:

(1)逐批测算法

逐批测算法,是指在存货年采购总量一定的条件下,对各种订货批数下的储存成本、订货成本及总成本,通过列表方式逐批进行测算从而确定存货年总成本最低的年订货批数和采购批量的一种计算方法。由于该方法是采用列表方式进行逐批测算的,因此也称为列表法。

为以下各种方法计算上的方便,现假设:

A-某种存货全年需要量

Q-存货每批订货量

C-单位存货年储存成本

F-每批存货订货成本

T-存货年总成本(储存成本与订货成本之和)

那么:

下面举例说明:

例:某企业生产用的甲种材料,全年需要总量为480吨,每次订货费用为300元,每吨材料年储存成本为20元。各批次的订货成本、储存成本及总成本逐批测算如下表:

经济采购批量逐批测算表

经以上逐批测算,从测算表中可见,当全年订货4次,每次订货120吨时,其存货总成本为2,400元。当采购批量低于或高于120吨时,其总成本均高于2,400元。因此120吨为总成本最低的采购批量,即经济采购批量。

(2)图解法

图解法也称为图示法,是将不同采购批量的年订货成本、储存成本及总成本描绘在同一直角座标图中,以总成本曲线的最低点,即订货成本线与储存成本线相交点相对应的采购批量,作为经济采购批量的一种方法。

以上述举例中有关资料,绘制经济采购批量图式如下。

由上图可以看出,当存货年总成本曲线为最低点时,也就是年储存成本线与年订货成本线相交时的年总成本。此时的年总成本为2,400元,相对应的采购批量为120吨。因此经济采购批量即为120吨。

(3)公式法

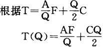
公式法是根据采购批量与年订货成本和年储存成本之间的关系,通过建立数学模型来确定经济采购批量的一种方法。

求T对Q的导数:

仍以前面举例的资料说明经济采购批量、经济采购批数以及最低年总成本计算方法:

3.存货采购批量决策

按照上述模型确定的存货经济采购批量,是假定在存货采购价格固定不变,企业的资金有保证以及存货成本资料准确完备的前提下使存货年总成本达到最低的最佳采购批量。然而在企业实际的存货采购活动中,当增大采购批量时往往可以获得批量折扣的优惠,使采购批量可能超过经济批量;同时经济采购批量的确定也可能受到企业资金限额和存货成本资料等条件的限制。因此,企业在存货采购中,应根据存货供应单位的销售条件和企业的实际情况,运用存货经济批量的基本理论和方法,对各种不同条件下的存货采购批量进行正确的决策,以便做到既能充分满足企业生产经营对各种存货的需要,同时又能使存货的总成本达到最低。按照影响存货采购批量确定的有关因素,存货采购批量决策主要有以下几种情况:

(1)有数量折扣的采购批量决策

当销售单位规定有数量折扣时,企业在采购时如果达到每次购货的一定数量,则可以取得价格上的优惠。但是企业为了取得价格上的优惠,又可能使采购量超过正常需要,从而增加存货总成本。因此,企业对有数量折扣的存货采购进行决策时,对存货总成本的比较,不但要考虑订货成本和储存成本,而且还应考虑其采购成本。决策分析的一般方法是通过对是否接受数量折扣条件以及接受何种数量折扣条件的各存货总成本,进行计算和比较,从中选择存货总成本最低的采购批量方案。

设存货采购单价为P,则:

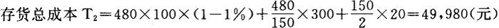
例:上述举例中,甲材料全年耗用480吨,每吨价格为100元,每次订货成本为300元,每吨年储存成本为20元。现假定供货单位规定,一次订货超过150吨,可给予1%的批量优惠,一次订货超过300吨,可给予2%的批量优惠。试对甲材料的订货批量进行决策。

下面三种不同订货方案的存货总成本分别计算如下:

❶ 按经济批量采购,不取得数量折扣的存货总成本:

❷ 按150吨批量采购,取得1%数量折扣的存货总成本:

❸ 按300吨批量采购,取得2%数量折扣的存货总成本:

通过以上对三个采购方案总成本的计算和比较,可以看出采购批量为150吨时,存货的总成本为最低。因此,在决策时应选择批量为150吨,数量折扣为1%的最优采购批量方案。

(2)资金限制条件下的存货采购批量决策

企业在生产经营活动中,投资在存货上的资金总是有一定限度的。企业生产经营所需要的存货,不但种类繁多,而且各种存货所需要的数量多少不等。如果企业在一定时期内用于各种存货的资金平均周转额规定有特定的限额,那么存货的采购就不能按照各种存货的经济批量进行,而应将资金限额在各种存货间进行合理的分配,从而确定各种存货相应的年订货批数和采购批量。

例:某企业生产某产品,需用甲、乙、丙三种主要材料。各材料的全年需要量和单价如下表:

材料年需要量及单价

假定以上每一种材料的订货成本与储存成本相等。企业用于三种材料的资金限额为10000元。试对甲、乙、丙三种材料的经济采购批量和年订货批数进行决策。

根据各材料年需要量和单价分配资金限额,并确定年订货次数与经济采购批量的具体计算方法如下表:

经济采购批量及订货批数计算表

以上计算中,资金限额的分配,是以各种材料全年需用金额的平方根为标准的。这是因为的变动对A的影响程度,具体表现为(Q)的乘数是A乘数的平方根。同时,由于存货平均占用量为进货时最高占用量的,因此表中经济采购批量等于两倍的资金周转限额再除以单价。

上述计算结果表明,在企业存货资金规定不得超过10,000元的限制条件下,甲、乙、丙三种材料的合理采购批量分别为120件、160件和320件,全年订货总次数为12.5次。

(3)年订货总次数限制条件下的存货采购批量决策

企业在存货控制中,由于缺乏确定各种存货经济采购批量必须的准确资料,除通过规定资金总限额来确定各种存货的经济采购批量外,还可以通过规定年采购总次数来控制材料采购,并确定各种存货的采购批量和年订货次数。在规定年订货总次数的限制条件下,各种存货的年订货次数可根据各种存货全年需要金额的平方根直接进行分配。

现仍以上述举例有关资料为例,假定该企业规定三种材料全年定货次数不得超过8次,那么甲、乙、丙三种材料的年订货资次数和经济采购批量及资金平均占用额可具体计算如下表:

经济采购批量和年订货次数计算

以上计算结果表明,当三种材料全年订货总次数规定为8次时,甲、乙、丙三种材料的经济采购批量分别为187.5件、250件和500件,此时的存货资金平均占用额为15625元。

(4)资金和订货次数双重限制条件的采购批量决策

根据前面的分析和计算,可以看出限制资金总额和限制年订货总次数对存货经济采购批量和存货成本的影响是相反的。限制资金总额可以降低采购批量,节约储存成本,但增加订货成本;限制订货总次数,则增加采购批量,可以节约订货成本,但增加储存成本。因此,资金总额与年订货总次数是相互影响、互为消长的。减少存货资金占用总额必定增加存货年订货次数,而增加存货年订货次数则必定减少存货资金占用总额。

当企业同时规定资金总额和年订货次数两个限制条件时,根据这两个因素对采购批量相互矛盾的关系,二者只能取其一。在比较决策时应比较由于限制资金总额而增加的订货成本与由于限制年采购次数而增加的储存成本,从中选择成本较低者。

现仍以前述的资金总额限制和订货次数限制的两个方案为例,将有关资料列示如下表:

两种限制条件下的成本比较

表中c为存货每次订货成本,Fi为存货储存费用率。当资金限额为10,000元时,年订货次数为12.5次;当年订货次数限额为8次时,资金占用量则增加到15,625元。由于可见,限制资金总量,会使年订货成本增加4.5C,而限制年订货次数,则会使年储存成本增加5,625Fi。因此,在进行方案选择时,应对4.5c与5,625Fi的大小进行比较,从中选择使存货成本较低的限制条件方案。具体进行比较、判断和选择的方法如下:

当5,625Fi>4.5C,即Fi>0.0008C时,应选择限制资金总量的方案;

当Fi<0.0008C时,应选择限制年订货次数的方案。

在上例中,如果企业要求资金限额在100,000元至15,625元之间,年订货次数在8次至12.5次之间确定一个合理的、适合企业实际情况的采购批量,则可以按照这两个方案的资金占用量的平均值或年订货次数的平均值加以选择。如以资金占用量为限制条件,即以,812.5元为选择标准,年订货次数则为9.75次,甲、乙、丙三种材料的采购批量分别为153.25吨、205吨和410吨。如以年订货次数为限制条件,即以次为选择标准,资金占用量则为12,195元,甲、乙、丙三种材料的采购批量分别为146.34吨、195.12吨和390.24吨。具体计算方法及过程如下表:

随便看

 

离鸟网收录3541549条中英文词条,其功能与新华字典、现代汉语词典、牛津高阶英汉词典等各类中英文词典类似,基本涵盖了全部常用中英文字词句的读音、释义及用法,是语言学习和写作的有利工具。

 

Copyright © 2004-2024 vtrois.com All Rights Reserved
更新时间:2026/4/8 15:42:15