网站首页  词典首页


请输入您要查询的字词:

 

字词 经验计算法
类别 中英文字词句释义及详细解析
释义 经验计算法

【说明】 从以上两种方法的计算中可看出,纸机本身的动力消耗计算应全面的考虑纸机各部情况来进行,这种计算较为繁琐,在一般情况下,可用下面的经验公式进行计算。

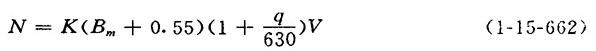
【公式】

式中 N——纸机变速传动部分的动力消耗(不包括定速部分各设备的动力消耗,如振动装置,真空泵等)(马力)(1马力=735.5W)

K——动力消耗的校正因数,取决于纸机的抄速。低速纸机K=0.35~0.4;中速纸机K=0.25~0.35;高速纸机K=0.2~0.25

Bm——卷纸机上纸的抄宽(m)

q——纸的定量(g/m2)

V——纸机车速(m/min)

【例】 某纸机生产60g/m2书写纸,抄宽2.8m,抄速200m/min,计算纸机本身在一小时内每吨纸所需要的动力消耗。

解:纸机每小时的生产能力为:

G=0.06qBmV=0.06×60×2.8×200

=2016(kg/h)

=2.016(t/h)

纸机为中速纸机,故选用K=0.3,则变速部分的动力消耗为:

N=K(Bm+0.55)(1+)V

=0.3(2.8+0.55)(1+)×200

=221.1(马力)

=162.62(kW)

造纸机生产每吨纸本身消耗的动力:

=80.66(kW/t纸)

随便看

 

离鸟网收录3541549条中英文词条,其功能与新华字典、现代汉语词典、牛津高阶英汉词典等各类中英文词典类似,基本涵盖了全部常用中英文字词句的读音、释义及用法,是语言学习和写作的有利工具。

 

Copyright © 2004-2024 vtrois.com All Rights Reserved
更新时间:2026/4/6 22:31:45