维生素B12[典]
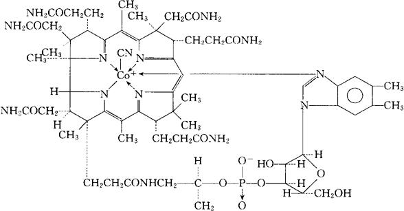
C63H88CoN14O14P=1324.46 CAS-68-19-9 氰化钴啉醇酰胺磷酸与5,6-二甲基-1-α-D-呋喃核糖基苯并咪唑内盐成-3′-酯。 Cobinamide cyanide phosphate-3′ester with 5,6-dimethyl-1-α-D-ribofuranosylbenzimidazole inner salt 抗贫血药。用于巨幼红细胞性贫血,也可用于神经炎等的辅助治疗。 氰钴胺(台),钴胺素,氰基钴胺,维生素乙12,抗恶性贫血维生素。 Vitamin B12,Cyanocobalamin(a),Cianocobalamina,Berubigen,Betalin 12 Crystalline,Cabadon M,Cobadoce Forte,Crystwel,Cyomin,Cyredin,Depinar,Dodex,Docibin,Dodecavite,Redisol,Rubramin PC. 维生素B12片,维生素B12注射液。 INN,BAN,BP,DCF,DCIT,EP,FP,GDP,JP, NF,USAN,USP,USSRP,MI.  |