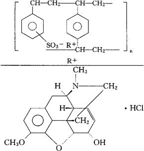
聚司替可待因
二乙烯基苯与乙烯基苯聚合经磺化再与(5α,6α)-7,8-二去氢-4,5-环氧-3-甲氧基-17-甲基吗啡喃-6-醇形成的复合物。 Benzene,diethenyl-,polymer with ethenylbenzene,sulfonated,complex with(5α,6α)-7,8-didehydro-4,5-epoxy-3-methoxy-17-methylmorphinan-6-ol. 磺化苯乙烯-二乙烯苯聚合物与7,8-二去氢-4,5α-环氧-3-甲氧基-17-甲基吗啡喃-6α-醇的复合物。 Sulfonated styrene-divinylbenzene copolymer complex with,7,8-didehydro-4,5α-epoxy-3methoxy-17-methyl-morphinan-6α-ol. 止咳药。 Codine Polistirex. USAN.  |