网站首页  词典首页


请输入您要查询的字词:

 

字词 舒立克隆
类别 中英文字词句释义及详细解析
释义 舒立克隆

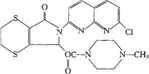
C20H20ClN5O3S2=477.98

CAS-53813-83-5

4-甲基-1-哌嗪羧酸与(±)-6-(7-氯-1,8-二氮杂萘-2-基)-2,3,6,7-四氢-7-羟基-5H-对-二硫酮[2,3-c]吡咯-5-酮形成的酯。

4-Methyl-1-piperazinecarboxylic acid ester with(±)-6-(7-chloro-1,8-naphthyridin-2-yl)-2,3,6,7-tetrahydro-7-hydroxy-5H-p-dithiino[2,3-c]pyrrol5-one.

6-(7-氯-1,8-二氮杂萘-2-基)-2,3.6,7-四氢-7-氧代-5H-[-1,4]-二硫酮[2,3-c]吡咯-5-基4-甲基哌嗪-1-羧酸酯。

6-(7-Chloro-1,8-naphthyridin-2-yl)-2,3,6,7-tetrahydro-7-oxo-5H-[1,4]dithiino[2,3-c]pyrrol-5-yl 4-methylpiperazine-1-carboxylate.

抗焦虑药,催眠药。

Suriclone,Clexane,RP 31264.

INN,BAN,USAN,MI.

随便看

 

离鸟网收录3541549条中英文词条,其功能与新华字典、现代汉语词典、牛津高阶英汉词典等各类中英文词典类似,基本涵盖了全部常用中英文字词句的读音、释义及用法,是语言学习和写作的有利工具。

 

Copyright © 2004-2024 vtrois.com All Rights Reserved
更新时间:2026/4/6 21:40:00