网站首页  词典首页


请输入您要查询的字词:

 

字词 苯丙酸诺龙[典]
类别 中英文字词句释义及详细解析
释义 苯丙酸诺龙[典]

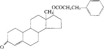
C27H34O3=406.56

CAS-62-90-8

17β-羟雌甾-4-烯-3-酮氢化肉桂酸酯。

17β-Hydroxyestr-4-en-3-one hydrocinnamate.

同化激素类药。用于营养不良、慢性消耗性疾病的恢复期及骨质疏松症等。

苯丙酸去甲睾丸酮,诺龙苯丙酸酯,多乐宝灵,苯丙酸南诺龙。

Nandrolone Phenylpropionate, Norandrostenolone Phenylpropionate,Durabolin.

苯丙酸诺龙注射液。

BP,USAN,USP,MI.

随便看

 

离鸟网收录3541549条中英文词条,其功能与新华字典、现代汉语词典、牛津高阶英汉词典等各类中英文词典类似,基本涵盖了全部常用中英文字词句的读音、释义及用法,是语言学习和写作的有利工具。

 

Copyright © 2004-2024 vtrois.com All Rights Reserved
更新时间:2026/4/7 9:54:35