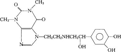
茶碱那林
C17H21N5O5=375.38 CAS-13460-98-5 7-[2-[[2-(3,4-二羟苯基)-2-羟乙基]氨基]乙基]-3,7-二氢-1,3-二甲基-间-嘌呤-2,6-二酮。 7-[2-[[2-(3,4-Dihydroxyphenyl)-2-hydroxyethyl]amino]ethyl]-3,7-dihydro-1,3-dimethyl-m-purine2,6-dione. 7-[2-[2-(3,4-二羟苯基)-2-羟乙基氨基]乙基]茶碱。 7-[2-[2-(3,4-Dihydroxyphenyl)-2-hydroxyethylamino]ethyl]theophylline. 中枢兴奋药。 Theodrenaline,D 470,H 8352,NAT. INN,BAN,USAN.  |