莫维普利
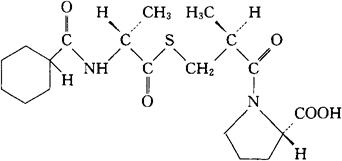
C19H30N2O5S=398.52 CAS-85856-54-8 (-)-1-[(2S)-3-巯基-2-甲基丙酰]-L-脯氨酸与N(环己基羰基)硫代-D-丙氨酸形成的酯。 (-)-1-[(2S)-3-Mercapto-2-methylpropionyl]-Lproline,ester with N-(cyclohexylcarbonyl)thio-Dalanine. 1-[3-[2[(环己基羰基)氨基]-1-氧代丙基]-硫代-2-甲基-1-氧代丙基]-L-脯氨酸。 1-[3-[2-[(Cyclohexylcarbonyl)amino]-1-oxopropyl]-thio-2-methyl-1-oxopropyl]-L-proline. 抗高血压药。 Moveltipril. INN,USAN. 
|