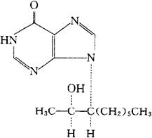
诺次黄嘌呤
C14H22N4O2=278.35 CAS-76600-30-1 赤-9-[1-(1-羟乙基)庚基]次黄嘌呤。 erythro-9-[1-(1-Hydroxyethyl)heptyl]hypoxanthine. 1,9-二氢-9-[1-(1-羟乙基)庚基]-6H-嘌呤-6-酮。 1,9-Dihydro-9-[-1-(1-hydroxyethyl)heptyl]-6Hpurin-6-one. 免疫调节药。 诺尚丁。 Nosantine,NPT 15392,Erimunol. INN,BAN,USAN.  |