资源协调法
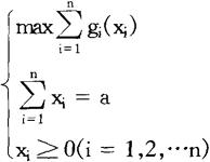
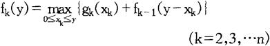
当总资源有限而有若干个互相独立的项目时,为了使得总收益最大而将资源在各个项目之间协调的方法。 资源协调有许多不同的模型,这里简要地介绍一下运筹学中的动态规划模型。假定某种资源的总量为a,可用于n个项目,第i个项目的收益是该项目投入资源的函数,记为gi(xi),表示项目i在资源投入为xi时,产出的收益。 问如何协调这种资源于几种项目,使得总收益最大?其模型如下:  利用动态规划方法求解,令: fk(y)=在资源数量限制为y,仅从前k个项目中选择目标项目可以获得的最大收益。  根据动态规划的最优化原则,得   求解这个方程,就可求得最优的资源分配方案。 直观地看,资源应优先分配到边际收益最大的项目之中,直到其边际收益降到低于其他项目为止。 |