网站首页  词典首页


请输入您要查询的字词:

 

字词 阿帕西林钠
类别 中英文字词句释义及详细解析
释义 阿帕西林钠

CAS-58795-03-2

C25H22N5NaO6S=543.53

CAS-63469-19-2(apalcillin)

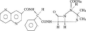
6-[[[[(4-羟基-1,5-二氮杂萘-3-基)羰基]氨基]苯乙酰基]氨基]-3,3-二甲基-7-氧4-硫-1-氮杂双环[3.2.0]庚烷-2-羧酸单钠盐,[2S-[2α,5α,6β(S*)]]-。

4-Thia-1-azabicyclo[3.2.0]heptane-2-carboxylicacid,6-[[[[(4-hydroxy-l,5-naphthyridin-3-yl)carbonyl]amino]phenylacetyl]amino]-3,3-dimethyl7-oxo-,monosodium salt,[2S-[2α,5α,6β(S*)]]-.

(2S,5R,6R)-6-[(R)-2-(4-羟基-1,5-二氮杂萘-3-甲酰胺基)-2-苯乙酰胺基]-3,3-二甲基-7-氧-4-硫-1-氮杂双环[3.2.0]庚烷-2-羧酸钠。

Sodium(2S,5R,6R)-6-[(R)-2-(4-hydroxy-1,5-naphthyridine-3-carboxamido)-2-phenylacetamido]-3,3-dimethyl-7-oxo-thia-l-azabicyclo[3.2.0]heptane-2-carboxylate.

抗生素类药。

Apalcillin Sodium,WY-44417,Sodium.

INN,USAN.

随便看

 

离鸟网收录3541549条中英文词条,其功能与新华字典、现代汉语词典、牛津高阶英汉词典等各类中英文词典类似,基本涵盖了全部常用中英文字词句的读音、释义及用法,是语言学习和写作的有利工具。

 

Copyright © 2004-2024 vtrois.com All Rights Reserved
更新时间:2026/4/6 13:22:07