网站首页  词典首页


请输入您要查询的字词:

 

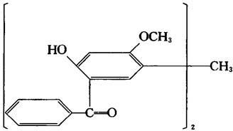
字词 Mark LA-51
类别 中英文字词句释义及详细解析
释义

Mark LA-51


【结构式】:

【释文】:

性质与用途 本品的挥发性低,与树脂的相容性好,适用于加工温度高的树脂,如聚苯乙烯、聚碳酸酯、ABS树脂和聚酯等。可赋予制品良好的耐候性。

国外生产厂 日本ァデガ·ァ—ガス化学公司

随便看

 

离鸟网收录3541549条中英文词条,其功能与新华字典、现代汉语词典、牛津高阶英汉词典等各类中英文词典类似,基本涵盖了全部常用中英文字词句的读音、释义及用法,是语言学习和写作的有利工具。

 

Copyright © 2004-2024 vtrois.com All Rights Reserved
更新时间:2026/4/8 12:03:45