网站首页  词典首页


请输入您要查询的字词:

 

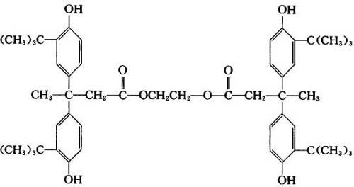
字词 双〔3,3-双(3′-叔丁基-4′-羟基苯基)丁酸〕乙二醇酯
类别 中英文字词句释义及详细解析
释义

双〔3,3-双(3′-叔丁基-4′-羟基苯基)丁酸〕乙二醇酯


【结构式】:

【释文】:

性质 白色结晶粉末。分子量795.08。熔点165℃。相对密度1.1。

用途 本品为高效不污染性抗氧剂。适用于聚烯烃,特别是聚丙烯,也可用于聚苯乙烯、聚酰胺、ABS树脂、聚酯、聚氨酯及纤维素塑料。耐热性和加工性能好,抗氧效能高,挥发性低,耐抽出性优良。

国外生产厂

随便看

 

离鸟网收录3541549条中英文词条,其功能与新华字典、现代汉语词典、牛津高阶英汉词典等各类中英文词典类似,基本涵盖了全部常用中英文字词句的读音、释义及用法,是语言学习和写作的有利工具。

 

Copyright © 2004-2024 vtrois.com All Rights Reserved
更新时间:2026/4/9 17:12:20