网站首页  词典首页


请输入您要查询的字词:

 

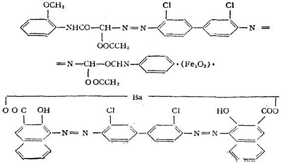
字词 塑料棕
类别 中英文字词句释义及详细解析
释义

塑料棕


【结构式】:

【释文】:

性质 棕色粉末。细度(60目通过)95%,油渗性3级,水渗性2级,吸油量20±5%。

用途 本品可作为塑料用着色剂。

国内生产厂 上海染化一厂

随便看

 

离鸟网收录3541549条中英文词条,其功能与新华字典、现代汉语词典、牛津高阶英汉词典等各类中英文词典类似,基本涵盖了全部常用中英文字词句的读音、释义及用法,是语言学习和写作的有利工具。

 

Copyright © 2004-2024 vtrois.com All Rights Reserved
更新时间:2026/4/7 6:05:06