网站首页  词典首页


请输入您要查询的字词:

 

字词 卡莫昔罗
类别 中英文字词句释义及详细解析
释义 卡莫昔罗

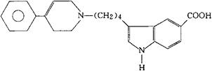
C24H26N2O2=374.48

CAS-98323-83-2

3-[4-(3,6-二氢-4-苯基-1(2H)-吡啶基)丁基]吲哚-5-羧酸。

3-[4-(3,6-Dihydro-4-phenyl-1(2H)-pyridyl)butyl]indole-5-carboxylic acid.

多巴胺受体激动药。

Carmoxirole.

INN,USAN.

随便看

 

离鸟网收录3541549条中英文词条,其功能与新华字典、现代汉语词典、牛津高阶英汉词典等各类中英文词典类似,基本涵盖了全部常用中英文字词句的读音、释义及用法,是语言学习和写作的有利工具。

 

Copyright © 2004-2024 vtrois.com All Rights Reserved
更新时间:2026/4/7 8:23:05