网站首页  词典首页


请输入您要查询的字词:

 

字词 大M法
类别 中英文字词句释义及详细解析
释义 大M法

亦称罚因子法。

它是线性规划问题中,当约束条件中加入人工变量以后,为了使问题的解不受引入的人工变量的影响,而采用的一种算法。

M是一个很大的正数,当约束条件引入人工变量以后,若目标函数是极大化(MAX)问题,则引入的人工变量在目标函数中的系数为-M;若目标函数是极小化(Min)问题,则引入的人工变量在目标函数中的系数为+M。

设xk为引入的人工变量,则

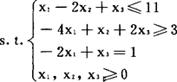
例:MinZ=-3x1+x2+x3

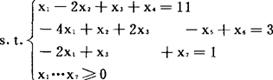
在上述问题的约束条件中加入松弛变量x4,剩余变量x5,人工变量X6,x7后得到:MinZ=-3x1+x2+x3+Mx6+Mx7

变Min化MAX化求解:

得最优解:x1*=4,x2*=1,x3*=9,

MinZ=-Z=-2

随便看

 

离鸟网收录3541549条中英文词条,其功能与新华字典、现代汉语词典、牛津高阶英汉词典等各类中英文词典类似,基本涵盖了全部常用中英文字词句的读音、释义及用法,是语言学习和写作的有利工具。

 

Copyright © 2004-2024 vtrois.com All Rights Reserved
更新时间:2026/4/7 13:31:25