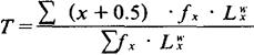
平均世代间隔
某一代母亲生育女儿时的平均年龄。 或者说,女儿一代比母亲一代平均小多少岁。也可称为平均世代长度。其计算公式如下:  式中T为平均世代间隔,x代表母亲生每个女儿时的周岁年龄,(x+0.5)为各年龄组妇女平均年龄,fx为各年龄的生育率, 为女性生命表中的各年龄生存率。 平均世代间隔的长短,一般说与结婚、生育早晚有关,结婚、生育越早,平均世代间隔也越短。但是,如果一方面早婚早育,另一方面生育不加限制,到育龄后期还在生育,计算出来的世代间隔也可能较长。所以,平均世代间隔指标必须与净再生产率指标结合使用,才能更全面地反映人口再生产状况。 |