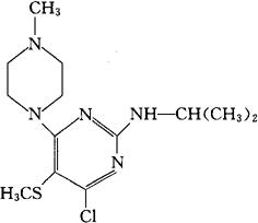
异丙齐拉明
C13H22ClN5S=315.86 CAS-55477-19-5 4-氯-2-(异丙氨基)-6-(4-甲基-1-哌嗪基)-5-(甲硫嘧啶)。 4-Chloro-2-(isopropylamino)-6-(4-methyl-1-piperazinyl)-5-(methylthiopyrimidine). 4-氯-N-(1-甲基乙基氨基)-6-(4-甲基-1-哌嗪基)-5-(甲硫)-2-嘧啶胺。 4-Chloro-N-(1-methylethylamino)-6-(4-methyl-1-piperazinyl)-5-(methy1thio)-2-pyrimidinamine. 镇静药,镇吐药。 异丙哌嘧啶。 Iprozilamine. INN,USAN. 
|