网站首页  词典首页


请输入您要查询的字词:

 

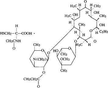
字词 红霉素司丙酸盐
类别 中英文字词句释义及详细解析
释义 红霉素司丙酸盐

C40H71NO14·C5H9NO3S=953.19

CAS-84252-03-9

红霉素2′-丙酸盐与N-乙酰基-L-半胱氨酸(1∶1)的化合物。

Erythromycin2′-propionate,compound with Nacetyl-L-cysteine(1∶1).

抗生素类药。

Erythromycin Stinoprate.

INN,USAN.

随便看

 

离鸟网收录3541549条中英文词条,其功能与新华字典、现代汉语词典、牛津高阶英汉词典等各类中英文词典类似,基本涵盖了全部常用中英文字词句的读音、释义及用法,是语言学习和写作的有利工具。

 

Copyright © 2004-2024 vtrois.com All Rights Reserved
更新时间:2026/4/7 14:15:53