网站首页  词典首页


请输入您要查询的字词:

 

字词 混合果蔬汁饮料
类别 中英文字词句释义及详细解析
释义

混合果蔬汁饮料


(一)混合果汁饮料及其种类

混合果汁和混合果汁饮料是由2种以上的果汁按一定比例混合,经过调配而成的,可以突出某一水果的特征风味。将不同类型的果汁进行混合,主要是为了改善果汁的滋味和风味,提高果汁饮料的色泽。有些果汁,例如梅、洋李、樱桃以及大部分浆果,都具有强烈的风味,由于其酸度很高,只有通过稀释或与其他低酸性的柔和果汁混合调配才具有较好的风味,成为可口的风味极佳的饮料。反之,一些风味柔和、酸度较低的果汁,例如苹果汁、梨汁等,将其与酸度较高的果汁混合,则会大为改善饮料的质量。另一方面,各种果汁具有各自不同的特征风味,将两种或两种以上风味不同的果汁按一定比例混合,可以产生与单一果汁不同的风味和香气。混合调配不仅可以改变原来果汁的单调风味,还有变调或增香作用。

用于制造混合果汁饮料的原料果汁有甜橙汁、橘汁、柠檬汁、葡萄柚汁、乌梅汁、梨汁、杏汁、李汁、樱桃汁,以及菠萝、香蕉、番石榴、芒果、木瓜、西番莲等热带水果汁。其中苹果汁、梨汁和葡萄柚汁等水果原汁风味柔和,而且价格相对低廉,常作基本原料水果汁,而柑橘类、浆果类、核果类等高酸性和风味强的果汁常作辅助原料果汁。原料果汁与果浆的特性与质量标准已在原料篇内作了介绍,这里不再赘述。混合水果饮料一般可以分为以下4类:

①混合天然果汁(原果汁);

②混合果汁饮料;

③混合果肉饮料;

④加入混合果汁的清凉饮料(包括碳酸饮料)。

1.混合果汁

混合果汁是由两种或两种以上的果汁按一定比例混合而成的制品。用于混合的原料可以是水果的榨汁,也可以由浓缩果汁稀释还原而成的果汁。与单一果汁一样,混合果汁也可称为混合天然果汁或100%果汁。

(1)柑橘混合汁 橘汁、橙汁或橙汁与橘汁的混合汁都称为柑橘汁,甜橙汁能与苹果汁、杏汁、葡萄汁、柠檬汁、菠萝汁等很好调配。葡萄柚汁适合与杏汁、樱桃汁、柠檬汁、甜橙汁、酸橙汁、菠萝汁、枣汁、柑橘汁等混合。

橙-葡萄柚混合汁是一种很好的水果混合汁,两者混合的比例取决于制品所要求的色调、糖酸比,以及原料果汁的相对价格等因素。一般橙汁用量不低于50%,橙汁颜色较浅时甚至可达到75%的用量。柑橘汁与葡萄柚的混合汁其配比与橙-葡萄柚混合汁相同。

在美国,橙-葡萄柚混合汁是指由未经稀释或浓缩、没有发酵的、从成熟新鲜甜橙和葡萄柚中获取的果汁,通过混合调制而成的制品。橙汁中可以添加橘汁,但添加量不应超过橙汁量的10%。果汁中含一定量的游离或悬浮的浆,但不得含有种子或种子破碎物。橙-葡萄柚混合汁的色调应为淡橙黄色至淡琥珀色,没有或有少许的凝絮现象。

美国罐装的橙-葡萄柚汁与橙汁-葡萄柚汁的原汁一样,按其色泽和风味缺陷进行分级。色泽按规定的色泽标准或用专门色度计测定,缺陷按果汁中存在的可回收的香精油、囊衣碎片、果心或果皮、种子或种子破碎物以及变色斑点等的程度而定。风味因素主要考虑糖、酸和风味的好坏。橙-葡萄柚汁一般有A级和C级两种规格。

A级橙-葡萄柚汁的色泽淡黄至橙色,清亮,没有氧化褐变、焦糖化或其他变化。C级果汁色泽接近于典型色,为淡黄至浅琥珀色,颜色可以略暗或稍有褐变,但无变色现象。

在缺陷方面,A级果汁可以含有不超过12%的分离或悬浮的浆,含有不超过0.035%的可回收香精油(以体积计),无种子或种子破碎物,没有其他会严重影响产品感官的缺陷。C级果汁含有的浆量不超过18%,可回收香精油不超过0.055%。没有种子、种子破碎物或其他严重影响产品感官的缺陷。

从风味看,A级果汁有极佳和特有的橙-葡萄柚汁的风味,C级果汁有良好标准的橙-葡萄柚汁的风味,两者均无任何其他异味。

橙-葡萄柚混合汁可以添加甜味剂。不加甜味剂的天然混合汁,A级果汁糖度10°Bx,C级9.5°Bx。加甜味剂的糖度均为11.5°Bx。混合汁的酸度,A级0.75%~1.60%,C级0.60%~1.70%。糖酸比一般9.5~18∶1。

日本的柑橘混合天然果汁以温州蜜柑汁为主要原料,添加其他品种的柑橘汁混合而成。例如温州蜜柑-福原橙混合汁,其中的温州蜜柑汁的量为90%(质量分数),糖度9.1°Bx,酸度0.73%。这种混合汁的氨态氮含量32.5mg/100g、维生素C33.2mg/100g。

(2)苹果混合汁 苹果汁有浑浊和透明两种类型。与其他果汁相比,苹果汁相当柔和,更适合用来制造混合天然果汁。苹果汁推荐用于调配风味强烈的果汁,如樱桃汁、梅汁、李汁、醋栗汁、树莓汁、红莓汁、桑椹汁以及橙汁、桃汁和葡萄汁等。用苹果汁取代糖浆,冲淡风味强烈的果汁,可保持产品的黏稠度,并避免用水稀释,保持纯天然果汁的质量。

常见的苹果混合汁参见表2-1-101。苹果汁与橙、桃、桑椹以及醋栗等果汁混合时,苹果汁含量一般75%左右,而与葡萄汁混合时,两者比例相同。其他的苹果混合汁还有:

苹果-菠萝混合汁:25%或50%的菠萝汁与苹果汁混合,加糖量1%左右。

苹果-葡萄柚汁:25%葡萄柚汁与苹果汁混合,加糖量1%左右。

表2-1-101 常见的苹果混合汁

苹果-西番莲汁:5%或10%西番莲汁与苹果汁混合,加糖量1%左右。

混合天然果汁在贮藏过程中,维生素C和氨态氮有所损失,并易产生褐变和风味的变化,因而在加工混合果汁时,应在杀菌条件、灌装后的冷却以及包装容器的选择方面加以注意。

2.混合果汁饮料

以柑橘类为主的混合果汁饮料,常用柚汁、温州蜜柑汁与菠萝汁混合。此外,西番莲汁和番石榴汁可以抑制温州蜜柑特有的加热臭,能有效改善其风味。

典型的50%柑橘混合汁每吨产品配方如下(单位kg):

温州蜜柑原果汁 400

西番莲原果汁 50

柠檬酸 2.25

水 余量

柚原果汁 50

砂糖 76.75

香精 1.0L

以上混合果汁饮料的果汁含量50%,糖度12.5°Bx,酸度0.6%。

为了保持混合果汁饮料原有的完整风味,还可以加工成冷冻混合果汁饮料,其生产工艺流程如图2-1-60:

图2-1-60 冷冻混合果汁饮料生产工艺流程

冷冻混合果汁饮料的生产没有加热过程,因此不会产生加热臭,但这类饮料制品必须与冷链配套。除一般冷冻果汁饮料外,还可以用浓缩果汁为原料进行调配,冻结。这种高浓度冻结果汁饮料在饮用时再用水进行稀释。

3.混合果肉饮料

混合果肉饮料是由不同的原料果浆按一定比例进行混合,并经过稀释、调配而成的,其中的不溶性固形物含量应在19%以上。

与一般果肉型饮料一样,在生产混合果肉饮料时,也应预先对每一批原料果浆的质量进行检验,以能正确进行配料,使产品质量一致化。

果肉型饮料的生产过程包括原料浆的稀释、调整、调配、脱气、均质、瞬间杀菌、灌装、密封等。在调配罐中,混合果浆用经过处理的水稀释,并用离心分离方法去除粗硬物质后,加入一定量预先杀菌和过滤的糖浆、柠檬酸液、香料、抗坏血酸等,再加水至规定的浓度,取样分析检验,参照产品标准进行调整。脱气在30~40℃、53~67kPa条件下进行。脱气后经过均质使悬浊的果粒微细化,成为可口的乳状物。瞬间杀菌条件为95~98℃、30s。

主要混合果肉(浑汁)饮料配方如表2-1-102。

表2-1-102 混合果肉(浑汁)饮料的配方

在制造混合果肉型饮料时应特别注意各种水果的加工特性。例如草莓在加工果肉型饮料时特有的花色素类色素在加热或贮藏中会发生变化,容易退色。杏、梅等的原料水果黑色斑点较多,容易成为饮料中的异物,因此应加强选果和加工过程中的管理。香蕉浆过度加热时易产生粉红色色变,在杀菌后应迅速冷却。梨含有石细胞,需要在加工中加以去除,防止混入饮料内等。

另一方面,果肉质水果在完熟后果肉变软,在运输中易受损伤,以致引起败坏、发酵,对制品产生不良影响,为此诸如香蕉、梨、梅等水果购入时最好不要过熟,经过贮藏、追熟后使用。

4.加混合果汁的清凉饮料

这类饮料的果汁含量为10%以上,50%以下,不包括果肉型混合饮料。配方举例如下(产品批量1t,配料单位为kg):

配方①

西番莲原汁 180

苹果原汁 50

柠檬酸 0.12

水 余量

温州蜜柑原汁 70

砂糖 93.38

香料 1.0L

产品果汁含量30%,糖度13.0°Bx,酸度0.4%。

配方②

梅澄清原汁 75

砂糖 117.2

香料 1.0L

透明苹果原汁 25

柠檬酸 0.8

水 余量

饮料含果汁10%,糖度12.5°Bx,酸度0.35%。

混合果汁碳酸饮料参见第三章碳酸饮料。

(二)混合蔬菜汁饮料

蔬菜汁除单汁外,往往加工成混合蔬菜汁,典型的混合蔬菜汁是调味番茄汁饮料,即商品名为V8的蔬菜汁,是美国20世纪60年代开发的,含有8种蔬菜汁,为100%蔬菜汁。V8蔬菜汁以浓缩番茄汁为主原料,混合胡萝卜、芹菜、甜菜、荷兰芹、莴笋、水田芥、菠菜的汁,并加入盐、维生素C、天然香辛料和柠檬酸。每罐(163mL)标示的营养成分如下:热量146.3kJ、胆固醇0、脂肪0、蛋白质1g、糖7g、钠520mg、钾360mg。V8蔬菜汁富含维生素A和维生素C。每罐所含营养素占美国推荐的每日营养素的含量(%)如下:蛋白质<2、维生素A45、维生素C50、硫胺素2、核黄素2、烟酸6、钙2、铁4。

目前V8蔬菜汁有低盐和高维生素两种类型。后者所含维生素A、维生素C、维生素E的量为美国政府推荐值的每日摄取量的10%。

1985年我国首创的混合蔬菜汁,所用原料蔬菜汁有番茄汁、胡萝卜汁、冬瓜汁、芹菜汁、菠菜汁和莴笋汁等6种汁,其中番茄原汁占70%~75%,食盐添加量0.4%,柠檬酸0.3%~0.5%,成品pH4.0~4.2。可以添加维生素C,使其含量达到20~25mg/100g。脱气时汁液温度40~50℃,真空度66~80kPa。脱气后立即均质,均质压力一般19~20MPa。瞬时杀菌温度118~120℃,30s。热灌装温度80℃左右。为了提高保藏可靠性,灌装密封后,还需进行二次杀菌,杀菌温度85~90℃,10~12min。杀菌后冷却,成品最好在10℃左右条件下贮藏。

以下为另一蔬菜汁的配方:

番茄汁 60

甜椒汁 5

大葱汁 0.5

食盐 0.25

胡萝卜汁 25

芹菜汁 5

月桂叶浸汁(1∶20) 0.5

蔗糖 0.75

香芹汁 2.5

茴香浸汁(1∶10) 0.5

维生素C 500mg/L

该蔬菜汁的固形物含量为6.5%,酸度0.3%,食盐含量0.4%。

(三)混合果蔬汁饮料

1.果汁型果蔬混合饮料

果汁与蔬菜汁的混合饮料也称复合果蔬汁,具有一定的特色。蔬菜中的蛋白质、食物纤维以及钾、磷、钙等矿物质和某些微量元素不仅丰富了果汁饮料的营养成分,而且某些蔬菜的药用价值还能提高饮料的保健效果。果汁与蔬菜汁调配应注意保留水果的浓郁香味及蔬菜的清香味,同时又要保持合适的糖酸比。以苹果汁和芹菜汁的果蔬混合汁为例,两种不同配比的混合汁的风味及色泽见表2-1-103。苹果-芹菜混合汁的糖度以8~10°Bx,酸度以0.3%左右为佳。

表2-1-103 苹果-芹菜混合汁的特性

蔬菜汁中加少量果汁可以改善蔬菜汁的风味。

2.果肉型果蔬混合饮料

果汁或果浆与蔬菜浆制成的饮料,例如在山楂汁或山楂浆中加入胡萝卜浆、南瓜泥等有营养和保健作用的蔬菜原料,通过调配制成果肉型混合饮料。

以山楂和胡萝卜等原料制成的果肉型混合饮料俗称果茶。果茶又可分为两种类型,一种是以山楂汁为原料的山楂汁型果茶,另一种是以山楂浆为原料的山楂浆型果茶。两种果茶各有特色,山楂汁型果茶色泽好,口感细腻。山楂浆型果茶由于果肉色调不一,多数不呈红色调,往往需要用食用色素着色。果茶生产工艺流程及工艺操作要点参见典型果蔬汁生产中山楂汁一节内容。

(四)混合果蔬汁成分与不溶性固形物的计算方法

1.果蔬混合饮料标准成分的计算

按混合果蔬汁的质量分数,假设果蔬汁A为l,果蔬汁B为m,果蔬汁C为n,则

果蔬汁或浆的标准成分量可分别参考表1-5-4和表1-5-5。果肉型饮料的标准成分量可参照表2-1-96日本JAS标准。

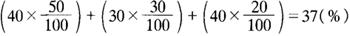
计算例1 按桃∶苹果∶杏=5∶3∶2之比例,生产果肉型饮料时,计算混合浆的含量。

解:根据表2-1-96,果肉型饮料含浆量的标准,将各数值代入公式,则混合浆的含量为:

各果浆的最低含量分别为:

如果在该饮料中需要加入果汁(例如菠萝汁)时,若果汁最低含量为饮料中果肉汁(浆+果汁)的10%,设所加果汁(菠萝汁)的含量为x,则:

37+x=10x ∴x=4.12(%)

4.12%是菠萝汁的必需加入量。对果肉型饮料仅需标注果浆的含量,在这种场合下,混合浆含量为37%。

2.果肉型果蔬混合饮料的标准不溶性固形物的计算

按混合浆的离心沉淀量(体积分数)(详见检测部分)计算标准值,根据表2-1-96果肉型饮料标准的数值,按照以下公式计算混合果浆的标准不溶性固形物的含量。

假设果浆A、B、C的质量分数分别为l,m和n,则:

计算例2 数据同例1,求混合浆不溶性固形物标准含量。

解:由例1可知,混合浆中桃浆、苹果浆和杏浆的含量分别为18.5%、11.1%和7.4%,根据表2-1-96该三种果肉型饮料的含浆量分别为40%、30%和40%,不溶性固形物的含量,分别为18.8%、18.9%和21.6%。因此该果肉型混合饮料的标准不溶性固形物含量为:

随便看

 

离鸟网收录3541549条中英文词条,其功能与新华字典、现代汉语词典、牛津高阶英汉词典等各类中英文词典类似,基本涵盖了全部常用中英文字词句的读音、释义及用法,是语言学习和写作的有利工具。

 

Copyright © 2004-2024 vtrois.com All Rights Reserved
更新时间:2026/4/7 11:53:37