网站首页  词典首页


请输入您要查询的字词:

 

字词 着色剂的测定
类别 中英文字词句释义及详细解析
释义

着色剂的测定


1.原理

水溶性酸性染料在酸性条件下被聚酰胺吸附,而在碱性条件下解吸附,再用纸色谱法或薄层色谱法进行分离后,与标准比较定性、定量。最低检出量为50μg,点样量为1g,样品最低检出浓度约为50mg/kg。

2.试剂

(1)聚酰胺粉(尼龙6):200目。置60~80℃,活化1h后,放干燥器中备用。

(2)硫酸:1∶10。

(3)甲醇-甲酸溶液:6∶4。

(4)甲醇。

(5)20%柠檬酸溶液,调节pH用。

(6)10%钨酸钠溶液。

(7)石油醚:沸程60~90℃。

(8)海砂:先用1∶10盐酸煮沸15min,用水洗至中性,再用5%氢氧化钠溶液煮沸15min,用水洗至中性,再于105℃干燥,贮于具玻璃塞的瓶中,备用。

(9)乙醇-氨溶液:取1mL氨水,加70%乙醇至100mL。

(10)50%乙醇溶液。

(11)硅胶G。

(12)pH6的水:用20%柠檬酸调节pH至6。

(13)盐酸:1∶10。

(14)5%氢氧化钠溶液。

(15)碎瓷片:处理方法同本测定方法2.(8)。

(16)展开剂。

①正丁醇∶无水乙醇∶1%氨水(6∶2∶3):供纸色谱用。

②正丁醇∶吡啶∶1%氨水(6∶3∶4):供纸色谱用。

③甲乙酮∶丙酮∶水(7∶3∶3):供纸色谱用。

④甲醇∶乙二胺∶氨水(10∶3∶2):供薄层色谱用。

⑤甲醇∶氨水∶乙醇(5∶1∶10):供薄层色谱用。

⑥2.5%柠檬酸钠∶氨水∶乙醇(8∶1∶2):供薄层色谱用。

(17)色素标准溶液(以下商品作为标准以100%计)。

胭脂红:纯度60%;苋菜红:纯度60%;柠檬黄:纯度60%;靛蓝:纯度40%;日落黄:纯度60%;亮蓝:纯度60%。

准确称取上述色素各0.100g,用pH为6的水溶解,移入100mL容量瓶中并稀释至刻度。此溶液每毫升相当于1mg商品色素。靛蓝溶液需在暗处保存。

(18)色素标准使用液:临用时吸取色素标准溶液各5.0mL,分别置于50mL容量瓶中,加pH为6的水稀释至刻度。此溶液每毫升相当于0.1mg商品色素。

3.仪器

(1)分光光度计。

(2)微量注射器或血色素吸管。

(3)展开槽:25cm×6cm×4cm。

(4)层析缸。

(5)滤纸:中速滤纸,纸色谱用。

(6)薄层板:5cm×20cm。

(7)电吹风机。

(8)水泵。

4.操作方法

(1)样品处理:

如含蛋奶的制品(蛋糕类):称取10.0g粉碎均匀的样品,加海砂少许,混匀,用热风吹干样品(用手摸已干燥即可以),加入30mL石油醚搅拌,放置片刻,倾出石油醚,如此重复处理3次,以除去脂肪,吹干后研细,全部转入G3垂融漏斗或普通漏斗中,用乙醇-氨溶液提取色素,直至色素全部提完,置水浴下浓缩至约20mL立即用1∶10硫酸调溶液至微酸性,再加1.0mL 1∶10硫酸,加1mL 10%钨酸钠溶液,使蛋白质沉淀过滤,用少量水洗涤,收集滤液。

(2)吸附分离:将处理后所得的溶液加热至70℃,加入0.5~1.0g聚酰胺粉充分搅拌,用20%柠檬酸溶液调pH至4,使色素完全被吸附,如溶液还有颜色,可以再加一些聚酰胺粉。将吸附色素的聚酰胺全部转入G3垂融漏斗或玻璃漏斗中过滤(如用G3垂融漏斗过滤,可以用水泵慢慢地抽滤)。用20%柠檬酸酸化至pH4的70℃水反复洗涤,每次20mL,边洗边搅拌,若含有天然色素,再用甲醇-甲酸溶液洗涤1~3次,每次20mL至洗液无色为止。再用70℃水多次洗涤至流出的溶液为中性。洗涤过程中必须充分搅拌。然后用乙醇-氨溶液分次解吸全部色素,收集全部解吸液,于水浴上驱氨。如果为单色,则用水准确稀释至50mL,用分光光度法进行测定。如果为多种色素混合液,则进行纸色谱或薄层色谱法分离后测定,即将上述溶液置水浴上浓缩至约2mL后移入5mL容量瓶中,用50%乙醇洗涤容器,洗液并入容量瓶中并稀释至刻度。

(3)定性:

①纸色谱:取色谱用纸,在距底边2cm的起始线上分别点3~10μL样品溶液、1~2μL色素标准溶液,挂于分别盛有2(16)①,2(16)②的展开溶剂的层析缸中,用上行法展开,待溶剂前沿展至15cm处,将滤纸取出于空气中晾干,与标准斑比较定性。

也可取0.5mL样液,在起始线上从左到右点成条状,纸的右边点色素标准溶液,依法展开,晾干后先定性后供定量用。靛蓝在碱性条件下易退色,可用2(16)③展开剂。

②薄层色谱:

a.薄层板的制备:称取1.6g聚酰胺粉,0.4g可溶性淀粉及2g硅胶G,置于合适的研钵中,加15mL水研匀后,立即置涂布器中铺成厚度为0.3mm的板。在室温晾干后,于80℃干燥1h,置干燥器中备用。

b.点样:离板底边2cm处将0.5mL样液从左到右点成与底边平行的条状,板的右边点2μL色素标准溶液。

c.展开:苋菜红与胭脂红用2(16)④展开剂,靛蓝与亮蓝用2(16)⑤展开剂,柠檬黄与其他色素用2(16)⑥展开剂。取适量展开剂倒入展开槽中,将薄层板放入展开,待色素明显分开后取出,晾干,与标准斑比较,如比移值相同即为同一色素。

(4)定量:

①样品测定:将纸色谱的条状色斑剪下,用少量热水洗涤数次,洗液移入10mL比色管中,并加入水稀释至刻度,做比色测定用。

将薄层色谱的条状色斑包括扩散的部分,分别用刮刀刮下,移入漏斗中,用乙醇-氨溶液解吸色素,少量反复多次至解吸液无色,收集解吸液于蒸发皿中,于水浴上挥去氨,移入10mL比色管中,加水至刻度,做比色用。

②标准曲线制备:分别吸取0.0、0.50、1.0、2.0、3.0、4.0mL胭脂红、苋菜红、柠檬黄、日落黄色素标准使用液,或0.0、0.2、0.4、0.6、0.8、1.0mL亮蓝,靛蓝色素标准使用溶液,分别置于10mL比色管中,各加水稀释至刻度。

上述样品与标准管分别用1cm比色杯,以零管调节零点,于一定波长下(胭脂红510nm,苋菜红520nm,柠檬黄430nm,日落黄482nm,亮蓝627nm,靛蓝620nm),测定吸光度,分别绘制标准曲线比较或与标准色列目测比较。

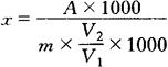
(5)计算:

式中 x——样品中色素的含量(g/kg或g/L);

A——测定用样液中色素的含量(mg);

m——样品的质量(体积)[g(mL)];

V1——样品解吸后总体积(mL);

V2——样液点板(纸)体积(mL)。

5.注意事项

(1)提取样品及纯化色素的过程中,靛蓝在碱性溶液中容易被破坏退色,除注意尽快用乙酸调节pH为6外,可改用0.1%~0.5%氨水溶液提取和解吸。

(2)展开时应根据同时存在的几种色素选择展开剂,例如使用展开剂时②苋菜红与胭脂红的比移值比较接近,用展开剂④可将两者很好地分开;使用展开剂①时柠檬黄和靛蓝不易展开,展开剂⑥可将两者很好地分开。

(3)靛蓝在碱性溶液中容易分解,可用异丁醇∶无水乙醇∶水(3∶2∶2)展开。

(4)样品实验前要提纯,以免影响吸附及层析分离效果。用酸性热水洗去食盐、糖、香精等,石油醚洗涤脱脂,蛋白酶去蛋白。

(5)层析用的溶剂不可存放太久,否则浓度和极性变化,影响分离效果,最好2d换一次。

(6)比色液要求清晰,混浊液要放过置过夜,离心过滤等处理后比色。

随便看

 

离鸟网收录3541549条中英文词条,其功能与新华字典、现代汉语词典、牛津高阶英汉词典等各类中英文词典类似,基本涵盖了全部常用中英文字词句的读音、释义及用法,是语言学习和写作的有利工具。

 

Copyright © 2004-2024 vtrois.com All Rights Reserved
更新时间:2026/4/8 19:00:32