网站首页  词典首页


请输入您要查询的字词:

 

字词 二丁酸甲氯松
类别 中英文字词句释义及详细解析
释义 二丁酸甲氯松

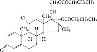
C30H40Cl2O6=567.55

CAS-10549-91-4

CAS-4732-48-3(meclorisone)

(11β,16α)-9,11-二氯-16-甲基-17,21-双(1-氧代丁氧基)孕甾-1,4-二烯-3,20-二酮。

(11β,16α)-9,11-Dichloro-16-methyl-17,21-bis(1-oxobutoxy)-pregna-1,4-diene-3,20-dione.

9-11β-二氯-17,21-二羟-16α-甲基孕甾-1,4-二烯-3,20-二酮二丁酸酯。

9-11β-Dichloro-17,21-dihydroxy-16α-methylpregna-1,4-diene-3,20-dione dibutyrate.

肾上腺皮质激素类药,局部消炎药。

甲氯松二丁酯。

Meclorisone Dibutyrate,Sch 11572.

INN & BAN(Meclorisone),USAN.

随便看

 

离鸟网收录3541549条中英文词条,其功能与新华字典、现代汉语词典、牛津高阶英汉词典等各类中英文词典类似,基本涵盖了全部常用中英文字词句的读音、释义及用法,是语言学习和写作的有利工具。

 

Copyright © 2004-2024 vtrois.com All Rights Reserved
更新时间:2026/4/8 12:12:27