网站首页  词典首页


请输入您要查询的字词:

 

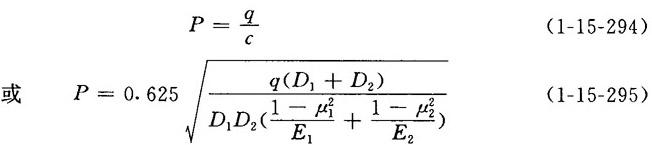
字词 压区平均压力的计算
类别 中英文字词句释义及详细解析
释义 压区平均压力的计算

【说明】 压区平均压力是决定湿压榨脱水效率的主要因素。

【公式】

式中 P——压区的平均压力(Pa)

q——辊间线压力(N/m)

c——压区宽度(m)

其它同式1-15-291

【注意】 式1-15-296适用于一个辊筒有包胶层时的压力计算。

随便看

 

离鸟网收录3541549条中英文词条,其功能与新华字典、现代汉语词典、牛津高阶英汉词典等各类中英文词典类似,基本涵盖了全部常用中英文字词句的读音、释义及用法,是语言学习和写作的有利工具。

 

Copyright © 2004-2024 vtrois.com All Rights Reserved
更新时间:2026/4/6 22:33:39