网站首页  词典首页


请输入您要查询的字词:

 

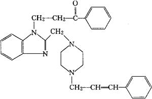
字词 桂拉唑
类别 中英文字词句释义及详细解析
释义 桂拉唑

C30H32N4O=464.61

CAS-51493-19-7

3-[2-[(4-肉桂基-1-哌嗪基)甲基]苯并咪唑基-1]苯丙酮。

3-[2-[(4-Cinnamyl-1-piperazinyl)methyl]benzimitazol-1-yl]propiophenone.

1-苯基-3-[2-[[4-(3-苯基-2-丙烯基)-1-吡嗪]甲基]-1H-苯并咪唑-1-基]-1-丙酮。

1-Phenyl-3-[2-[[4-(3-phenyl-2-propenyl)-1-piperazinyl]methyl]-1H-benzimidazol-1-yl]-1-propanone.

抗溃疡病药。

辛普拉唑。

Cinprazole.

INN,USAN.

随便看

 

离鸟网收录3541549条中英文词条,其功能与新华字典、现代汉语词典、牛津高阶英汉词典等各类中英文词典类似,基本涵盖了全部常用中英文字词句的读音、释义及用法,是语言学习和写作的有利工具。

 

Copyright © 2004-2024 vtrois.com All Rights Reserved
更新时间:2026/4/8 9:01:50