网站首页  词典首页


请输入您要查询的字词:

 

字词 分析方法
类别 中英文字词句释义及详细解析
释义

分析方法


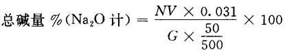
1.总碱量

用吸移管吸取50ml上述溶液,置于300ml的锥形瓶中,加入1~2滴0.1%甲基橙指示剂,用0.5mol/L盐酸标准溶液滴至恰现红色。

式中:V——滴定时所耗用的盐酸标准溶液数(ml);

N——盐酸标准溶液的浓度(mol/L)

G——试样重(g);

0.03——1mmol氧化钠的1mmol的克数。

2.氢氧化钠

用吸移管吸取50ml上述试液于250ml溶量瓶中,加入20ml10%氧化钡溶液,摇匀,再加入新煮沸而已冷却的蒸镏水稀释至刻度,摇匀,静置,以便碳酸钡沉淀。吸取澄清液100ml于300ml的锥形瓶中,加入5滴1%的酚酞指示剂,用0.5mol/L盐酸标准溶液滴定至红色消失。

式中:V——滴定耗用的盐酸标准溶液量(ml);

N——盐酸标准溶液的浓度(mol/L);

G——试样重(g);

0.04——氢氧化钠的mmol的克数。

3.碳酸钠

由总碱量减去氢氧化钠,即得碳酸钠(%):

Na2CO3(%)=总碱量Na2O%×1.7099-NaOH%×1.3249

随便看

 

离鸟网收录3541549条中英文词条,其功能与新华字典、现代汉语词典、牛津高阶英汉词典等各类中英文词典类似,基本涵盖了全部常用中英文字词句的读音、释义及用法,是语言学习和写作的有利工具。

 

Copyright © 2004-2024 vtrois.com All Rights Reserved
更新时间:2026/4/6 13:50:24