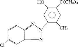
布美三唑
C17H18ClN3O=315.80 CAS-3896-11-5 2-(5-氯-2H-苯并三唑-2-基)-6-(1,1-二甲基乙基)-4-甲基酚。 2-(5-Chloro-2H-benzotriazol-2-yl)-6-(1,1-dimethylethyl)-4-methylphenol. 2-叔-丁基-6-(5-氯-2H-苯并三唑-2-基)-对-甲酚。 2-tert-Butyl-6-(5-chloro-2H-benzotriazol-2-yl)-pcresol. 防晒药。 Bumetrizole,Tinuvin 326. INN,USAN.  |