网站首页  词典首页


请输入您要查询的字词:

 

字词 CaCl2-HOAc浸提——旋光法测淀粉
类别 中英文字词句释义及详细解析
释义

CaCl2-HOAc浸提——旋光法测淀粉


(一)适用范围 最近经全国谷物淀粉分析方法标准化研究协作组对比试验证明,用比重为1.30,pH2.3的CaCl2-HOAc为分散和液化剂,在一定的加热条件下,使淀粉溶解并部分酸解,生成一定的水解产物,具有一定的旋光性,可用旋光计测定。结果的重复性好,操作也简便、快速。用此法时,各种淀粉的水解产物的比旋指定为203。

(二)试剂配制

1.CaCl2-HOAc溶液 溶解5份重的CaCl2·2H2O于6份水中,调节其比重(20℃)为1.30。此溶液约含33%CaCl2。再向此液中加入冰HOAc(每1L约加1.3ml冰HOAc),用pH计试调节pH2.3,过滤至清澈为止。

2.30%ZnSO4溶液 30gZnSO4·7H2O溶于100ml水中。

3.15%亚铁氰化钾溶液15gK4Fe(CN)6·3H2O溶于100ml水中。

(三)测定步骤

1.样品制备 选取谷物种子20g左右,挑除杂质,在65℃烘箱中烘干后磨碎,过0.25mm筛,充分混匀后装入磨口瓶中备用。

2.测定 称取磨细样品2.50g,放入250ml三角瓶中,加入10mlCaCl2-HOAc溶液和6-8个小玻璃球或大粒石英砂,轻轻摇匀,不要让样品粘在瓶底。再用50mlCaCl2-HOAc溶液沿瓶壁淋洗附着在瓶壁上的样品。三角瓶口加盖小漏斗,放在118±1℃恒温甘油浴中,使之在5min内达到恒温,继续恒温加热25min。在加热过程中不要搅拌,使其自然分散水解。然后立即取出,置于流水中冷却约15min。然后用30ml水分次无损地冲洗内容物入100ml容量瓶中,加1ml30%ZnSO4溶液,充分摇匀后加入1ml15%K4Fe(CN)6溶液,摇匀,如有泡沫,可加几滴酒精消除之,用水定容,中速滤纸过滤,弃去初滤液(15-20ml)。

将清滤液注入1或2dm旋光管内,在20℃下测定旋光度,操作步骤参照旋光法测蔗糖。

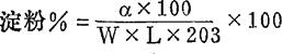
(四)结果计算

式中:α——旋光度读数;

L——旋光管长(dm);

W——样品重(g);

203——淀粉的比旋。

(五)注释

①CaCl2-HOAc溶液酸度必须调至pH2.3,若>2.5,易使分散液粘稠,难于过滤;若pH<2.3,易引起淀粉进一步水解而降低比旋。

②CaCl2-HOAc溶液应于放入甘油浴前约5min时才加入,以防样品粘附在瓶底,影响分散效果。

③试验表明,在加热初期搅拌,淀粉易结块;但在放入甘油浴前须轻轻摇动,使样品均匀分散在CaCl2-HOAc介质中,勿使样品粘在瓶底,必要时可用铲形玻棒将其搅开,加热后使其自然水解,测定结果的重复性较好。

随便看

 

离鸟网收录3541549条中英文词条,其功能与新华字典、现代汉语词典、牛津高阶英汉词典等各类中英文词典类似,基本涵盖了全部常用中英文字词句的读音、释义及用法,是语言学习和写作的有利工具。

 

Copyright © 2004-2024 vtrois.com All Rights Reserved
更新时间:2026/4/7 6:39:05