盐酸净特罗
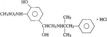
C19H26N2O4S·HCl=414.95 CAS-38241-28-0 CAS-37000-20-7(zinterol) N-[5-[2-[(1,1-二甲基-2-苯乙基)氨基]-1-羟乙基]-2-羟苯基]-甲磺酰胺,单盐酸盐。 Methanesulfonamide,N-[5-[2-[(1,1-dimethyl-2-phenylethyl)amino]-1-hydroxyethyl]-2-hydroxyphenyl]-,monohydrochloride. 5′-[2-[(α,α-二甲苯乙基)氨基]-1-羟乙基]-2′-羟甲烷磺酰苯胺单盐酸盐。 5′-[2-[(α,α-Dimethylphenethyl)amino]-1-hydroxyethyl]-2′-hydroxymethanesulfonanilide monohydrochloride. 支气管扩张药。 Zinterol Hydrochloride,MJ 9184-1. INN,USAN. 
|